Makassar Mulia
Kota Makassar Komitmen Dalam Kreatifitas

Update Corona Indonesia

UPDATE Sebaran Virus Corona Hari Ini 20 Agustus 2020: Sulsel, DKI Jakarta, Jawa Timur, Kalimantan

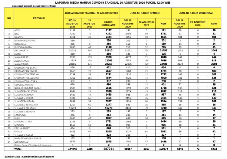
Sedangkan 6.418 pasien positif virus corona dilaporkan meninggal dunia. Jumlah tersebut bertambah 72 dari pengumuman di hari sebelumnya.

Editor: Hasrul
SHUTTERSTOCK VIA KOMPAS.COM
Update Sebaran Virus Corona Hari Ini 20 Agustus 2020: Sulsel, DKI Jakarta, Jawa Timur, Kalimantan 

31. Jambi
Kasus Baru: - orang
Sembuh: 126 orang
Meninggal Dunia: 4 orang
Terkonfirmasi: 250 orang

32. Sulawesi Tengah
Kasus Baru: - orang
Sembuh: 197 orang
Meninggal Dunia: 7 orang
Terkonfirmasi: 233 orang

33. Kepulauan Bangka Belitung
Kasus Baru: 1 orang
Sembuh: 201 orang
Meninggal Dunia: 2 orang
Terkonfirmasi: 220 orang

34. Nusa Tenggara Timur
Kasus baru: - orang
Sembuh: 138 orang
Meninggal Dunia: 1 orang
Terkonfirmasi: 165 orang

tribunnews
Data kasus corona di Indonesia, Kamis (20/8/2020) (Twitter @BNPB_Indonesia)

Kesimpulan data pasien virus corona (Covid-19) di Indonesia per Kamis (20/8/2020):

Jumlah Kasus:
Rabu, 19 Agustus 2020: 144.945 kasus
Kamis, 20 Agustus 2020: 2.266 kasus
Total : 147.211 kasus

Jumlah Pasien Sembuh:
Rabu, 19 Agustus 2020: 98.657 kasus
Kamis, 20 Agustus 2020: 2.017 kasus
Total : 100.674 kasus

Jumlah Pasien Meninggal Dunia:
Rabu, 19 Agustus 2020: 6.346 kasus
Kamis, 20 Agustus 2020: 72 kasus
Total : 6.418 kasus

(TribunTernate.com)

Artikel ini telah tayang di Tribunternate.com dengan judul UPDATE Sebaran Virus Corona Indonesia Kamis (20/8): DKI Catat 594 Kasus Baru dan 724 Sembuh Harian, https://ternate.tribunnews.com/2020/08/20/update-sebaran-virus-corona-indonesia-kamis-208-dki-catat-594-kasus-baru-dan-724-sembuh-harian?page=all.
Penulis: Rohmana Kurniandari
Editor: Sri Handayani1

Halaman 4 dari 4
Rekomendasi untuk Anda
Ikuti kami di

Berita Terkini

Berita Populer

© 2025 TRIBUNnews.com Network,a subsidiary of KG Media.
All Right Reserved