TAG
Positif Rate Corona Sulsel
-
Ketua Tim Konsultan Satgas Covid-19 Sulsel Prof Ridwan Amiruddin mengatakan pertumbuhan kasus covid-19
Kamis, 11 Maret 2021
-
Sementara Sulawesi Selatan di angka 92 pasien. Angka tersebut naik dibandingkan sehari sebelumnya di angka 79 pasien.
Selasa, 9 Maret 2021
-
Dengan penambahan 339 pasien di Sulsel membuat angka komulatif penambahan pasien terkonfirmasi tembus 55.865 orang.
Jumat, 26 Februari 2021
-
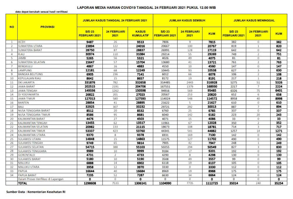
Dengan penambahan 388 pasien di Sulsel membuat angka komulatif penambahan pasien terkonfirmasi
Rabu, 24 Februari 2021
-
Artinya angka positif di antara seluruh sampel yang diperiksa, masih di atas standar WHO yakni 5 persen.
Minggu, 21 Februari 2021
-
Sementara Sulawesi Selatan di angka 273 pasien. Angka tersebut naik dibandingkan sehari sebelumnya di angka 116 pasien.
Kamis, 18 Februari 2021
-
Sudirman Sulaiman mengatakan, pihaknya telah melakukan beberapa upaya untuk mencegah terjadinya lonjakan pasien di rumah sakit.
Rabu, 17 Februari 2021
-
Sementara Sulawesi Selatan di angka 160 pasien. Angka tersebut turun dibandingkan sehari sebelumnya di angka 354 pasien.
Senin, 15 Februari 2021
-
Sementara Sulawesi Selatan di angka 128 pasien. Angka tersebut turun dibandingkan sehari sebelumnya di angka 180 pasien.
Kamis, 11 Februari 2021
-
Artinya angka positif di antara seluruh sampel yang diperiksa atau diatas standar WHO yakni 5 persen.
Senin, 25 Januari 2021