TAG
Covid-19 Sulsel
-
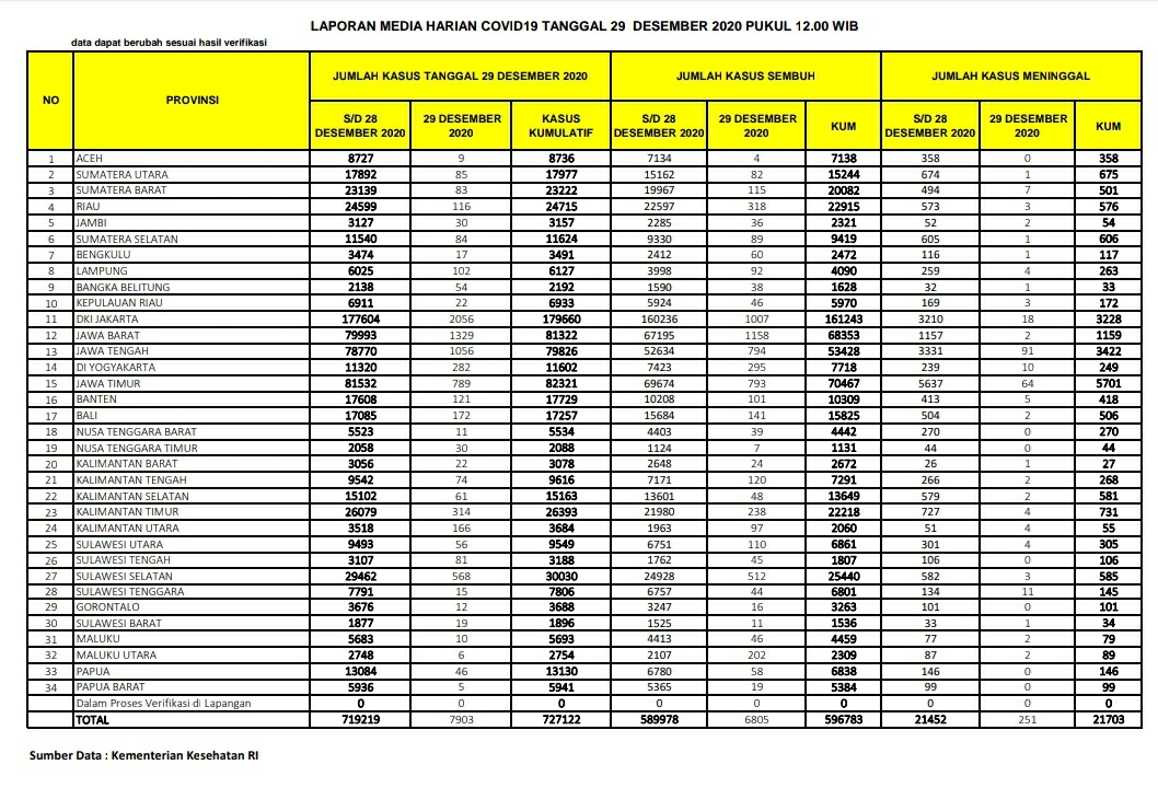
Pasien Terkonfirmasi Covid-19 di Sulsel Tembus 30 Ribu, Hari Ini Saja 568 Kasus
provinsi dengan angka penambahan pasien terkonfirmasi terbanyak yakni, DKI Jakarta 2.056 pasien, diikuti Jawa Barat 1.329 pasien
Selasa, 29 Desember 2020 -
Erwin Aksa Sahabat Prabowo Subianto - Sandiaga Uno Positif Terinfeksi Corona, 6 Cara Cegah Covid-19
Pengusaha sekaligus Komisaris Utama Bosowa Bosowa Corporindo, Erwin Aksa (44) mengumumkan dirinya positif terpapar virus corona atau Covid-19.
Selasa, 1 September 2020 -
UPDATE Covid-19 Sulsel Jumat 3 Juli 2020 Bertambah 180 Kasus Positif & Indonesia Lewati 60.000
Pemerintah menyatakan bahwa kasus Covid-19 di Indonesia sudah melewati angka 60.000 orang hingga hari ini
Jumat, 3 Juli 2020 -
UPDATE CORONA SULSEL: Positif Covid-19 Nambah 172 Orang, Kota Makassar Tembus 2535
Pemerintah kembali memperbarui data dan informasi terkait Covid-19, dan memperlihatkan bahwa penularan virus corona masih terjadi hingga saat ini.
Jumat, 26 Juni 2020 -
UPDATE CORONA SULSEL: Positif Covid-19 Bertambah 103 Kasus Baru Per Kamis 25 Juni 2020
Penularan itu bahkan menyebabkan kasus Covid-19 di Indonesia kini melewati angka 50.000 pasien
Kamis, 25 Juni 2020 -
BREAKING NEWS: Positif Corona Covid-19 Sulsel Tembus 4.062, Selasa 23 Juni 2020 Bertambah 154 Kasus
Laju angkat positif Corona Covid-19 Sulsel belum terkendali. Per hari ini Selasa 23 Juni 2020 angka positif tembus 4.062 kasus.
Selasa, 23 Juni 2020 -
Update Corona Sulsel Sulawesi Selatan Hari Ini Senin 22 Juni 2020, Positif Bertambah 111
Penularan virus itu menyebabkan kasus Covid-19 terus bertambah hingga Senin (22/6/2020).
Senin, 22 Juni 2020 -
UPDATE CORONA 20 Juni 2020: Positif Covid-19 Sulsel Sulawesi Selatan Bertambah 112 Kasus Hari Ini
Per hari ini ada penambahan 112 kasus positif baru di Sulawesi Selatan. Sementara secara Nasional tambah 1.226 Pasien.
Sabtu, 20 Juni 2020 -
UPDATE Corona Sulsel Rabu 8 April 2020: Positif Covid-19 Kota Makassar Makin Naik, Cek Daerahmu
Update Corona Sulsel Rabu 8 April 2020. Kota Makassar masih yang terbanyak positif Corona Covid-19.
Rabu, 8 April 2020 -
UPDATE Positif Corona Covid-19 Sulsel Senin 6 April 2020: Makassar Gowa Maros Teratas, Cek Daerahmu
Update virus Corona Covid-19 Sulsel Senin 6 April 2020.Makassar, Gowa dan Maros masih terbanyak positif.
Senin, 6 April 2020 -
Update Covid-19 di Sulsel: 19 Sembuh, 20 Meninggal
Sementara pasien meninggal juga bertambah. Untuk Pasien Dalam Pengawasan bertambah dari 6 pasien menjadi 13 pasien.
Senin, 6 April 2020 -
Setelah Makassar, Demokrat Sulsel ke Maros Kampanye Lawan Covid-19
Ketua Dewan Pengurus Daerah (DPD) Partai Demokrat Sulsel, Ni’matullah Erbe berkunjung ke Posko Energi Maros
Minggu, 5 April 2020 -
BREAKING NEWS: Jumlah Positif Corona di Indonesia Naik Jadi 2.092, Sembuh di Sulsel Bertambah Jadi 9
Jumlah Positif Corona di Indonesia Naik Jadi 2.092, Sembuh di Sulsel Bertambah Jadi 9
Sabtu, 4 April 2020 -
BREAKING NEWS: Positif Corona Sulsel Bertambah Jadi 82 Kasus, Sembuh 4 Orang per 3 April 2020
Angka positif Virus Corona Covid-19 terus naik. Per hari Jumat tanggal 3 April 2020 jadi 82 kasus
Jumat, 3 April 2020 -
Update Virus Corona Covid-19 Sulsel Kamis 2 April 2020: Makassar, Gowa, Maros Terbanyak
Dimak update Virus Corona Covid-19 Sulsel per Kamis 2 April 2020 di sini selengkapnya
Kamis, 2 April 2020 -
BREAKING NEWS: Positif Virus Corona Covid-19 Sulsel Naik 66 Kasus Meninggal Dunia 5 Orang
Jumlah positif Virus Corona Covid-19 Sulsel mengalami kenaikan per 1 April 2020 sore jadi 66 orang.
Rabu, 1 April 2020 -
Update Virus Corona Covid-19 Sulsel Naik Jadi 66 Kasus, Meninggal Dunia 5 Orang
Jumlah positif Corona di Sulsel naik dari 51 kasus dan per hari ini Rabu 1 April 2020 menjadi 66 kasus.
Rabu, 1 April 2020