TAG
Update Corona Sulsel Hari Ini
-
24 Pasien Covid-19 di Sulsel Dinyatakan Sembuh, 1 Meninggal
Kasus baru Covid-19 di Sulawesi Selatan bertambah 10 pasien. Angka itu turun dari sehari sebelumnya di angka 16 pasien.
Sabtu, 6 November 2021 -
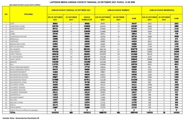
Per Oktober, Kasus Baru Covid-19 di Sulsel Melandai
Rata-rata penambahan pasien Covid-19 mengalami fluktuasi secara bulanan. Secara kumulatif, hingga Oktober 2021 sudah ada 109.679 pasien terkonfirmasi
Senin, 1 November 2021 -
Pasien Positif Covid-19 Tambah 7 di Sulsel dan 3 Sembuh
Dengan penambahan 7 pasien di Sulsel, angka komulatif penambahan pasien terkonfirmasi tembus 109.659 orang.
Sabtu, 30 Oktober 2021 -
Update Kasus Covid-19 di Sulsel Per 26 Oktober, Berikut Rinciannya Per Daerah
Penambahan kasus Covid-19 di Sulawesi Selatan sebanyak 18 pasien dari 8 kabupaten/kota di Sulsel
Selasa, 26 Oktober 2021 -
Pasien Covid-19 Sulsel Bertambah 18, 36 Dinyatakan Sembuh
Dengan penambahan 18 pasien di Sulsel membuat angka komulatif penambahan pasien terkonfirmasi tembus 109.576 orang.
Selasa, 26 Oktober 2021 -
Sulsel Kini Zona Hijau Covid-19
Kasus Covid-19 Sulawesi Selatan bertambah 48 pasien. Angka itu sama dari sehari sebelumnya
Rabu, 20 Oktober 2021 -
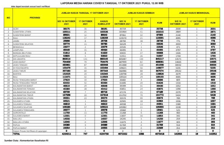
Update Covid-19 Sulsel 17 Oktober 2021, Berikut Datanya Per Daerah
Kini angka komulatif penambahan pasien terkonfirmasi Covid-10 di Sulawesi Selatan tembus 109.322 orang.
Senin, 18 Oktober 2021 -
Kasus Covid-19 Sulsel Bertambah 37 Orang, 11 Sembuh
Dengan penambahan 47 pasien di Sulsel membuat angka komulatif penambahan pasien terkonfirmasi tembus 109.322 orang.
Senin, 18 Oktober 2021 -
Kasus Covid-19 di Sulsel Bertambah 60 Orang, Kabar Baiknya 65 Sembuh
Angka komulatif penambahan pasien terkonfirmasi Covid-19 di Sulsel kini tembus 109.174 orang.
Kamis, 14 Oktober 2021 -
Kasus Covid-19 di Sulsel Berambah 26 Orang, Berikut Rinciannya Per Daerah
Kasus Covid-19 bertambah 26 pasien baru. Angka itu turun dari sehari sebelumnya di angka 57 pasien.
Senin, 11 Oktober 2021 -
Kabar Baik, 90 Pasien Covid-19 di Sulsel Dinyatakan Sembuh
Angka tersebut naik dibandingkan sehari sebelumnya di angka 39 pasien. Rata-rata penambahan pasien Covid-19 di angka 46 pasien per hari.
Senin, 11 Oktober 2021 -
Pasien Covid-19 di Sulsel Bertambah 31, Kabar Baiknya 83 Sembuh
Dengan penambahan 31 pasien di Sulsel membuat angka komulatif penambahan pasien terkonfirmasi tembus 108.946 orang.
Sabtu, 9 Oktober 2021 -
Pasien Covid-19 di Sulsel Bertambah 57 Orang, 131 Sembuh dan 2 Meninggal
Dengan penambahan 57 pasien di Sulsel membuat angka komulatif penambahan pasien terkonfirmasi tembus 108.871 orang.
Kamis, 7 Oktober 2021 -
Pasien Covid-19 di Sulsel Bertambah 47, Kabar Baiknya 130 Sembuh
Dengan penambahan 47 pasien di Sulsel membuat angka komulatif penambahan pasien terkonfirmasi tembus 108.814 orang.
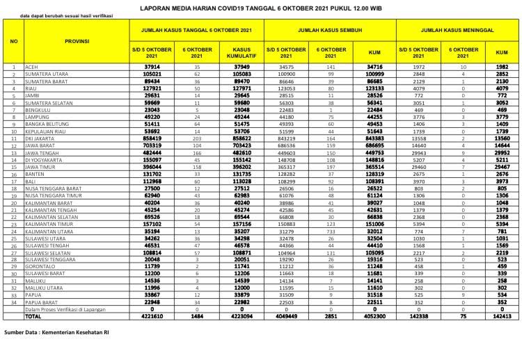
Rabu, 6 Oktober 2021 -
Kasus Covid-19 Sulsel Bertambah 51, Kabar Baiknya 66 Orang Sembuh
Dengan penambahan 51 pasien di Sulsel membuat angka komulatif penambahan pasien terkonfirmasi tembus 108.523 orang.
Kamis, 30 September 2021 -
BOR Rumah Sakit Isolasi di Sulsel Masih Dalam Batas Aman, Berikut Rinciannya
Per Rabu (28/9/2021) keterisian TT Isolasi RS di Sulsel masih dalam batas aman, di bawah presentase 70 persen.
Rabu, 29 September 2021 -
Sisa 12 OTG Dirawat di Ruang Isolasi Makassar
Dinas Kesehatan (Dinkes) Sulsel merilis data Bed Occupancy Rate (BOR) ruang isolasi yang ada di Makassar,
Rabu, 29 September 2021 -
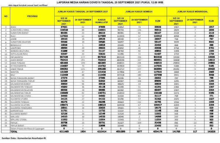
Kasus Covid-19 Sulsel Bertambah 66, Didominasi Makassar
Penambahan 66 pasien Covid-19 didapatkan dari 18 kabupaten/kota di Sulsel. Makassar tertinggi dengan 26 pasien baru
Rabu, 29 September 2021 -
Update Kasus Covid-19 di Sulsel Per 27 September, Tana Toraja Tertinggi
Kasus Covid-19 Sulawesi Selatan bertambah 30 pasien. Angka itu turun dari sehari sebelumnya di angka 46 pasien.
Selasa, 28 September 2021 -
Per 26 September 2021, Pasien Covid-19 di Sulsel Bertambah 46 dan 2 Meninggal
Dengan penambahan 46 pasien di Sulsel membuat angka komulatif penambahan pasien terkonfirmasi tembus 108.376 orang.
Senin, 27 September 2021