Makassar Mulia
Kota Makassar Komitmen Dalam Kreatifitas

Perkembangan Pasien Covid19 di Sulsel

2 Februari, Pasien Covid-19 Tambah 39 Orang di Sulsel dan 7 Pasien Sembuh

Melalui aku Twitter @BNPB_Indonesia, Rabu (2/2/2021) terlihat kasus Covid-19 di Sulsel bertambah 39 pasien.

Editor: Muhammad Fadhly Ali
Twitter BNPB
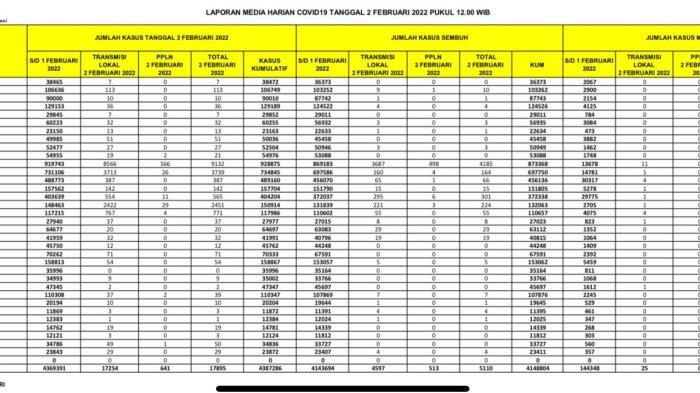
Perkembangan pasien Covid-19 di Sulsel dilansir laman Twitter BNPB Indonesia, Rabu (2/2/2022). 

TRIBUN-TIMUR.COM, MAKASSAR - Badan Nasional Penanggulangan Bencana (BNPB) merilis data terbaru kasus Covid-19 di Indonesia termasuk di Sulawesi Selatan.

Melalui aku Twitter @BNPB_Indonesia, Rabu (2/2/2021) terlihat kasus Covid-19 di Sulsel bertambah 39 pasien.

Angka itu turun dari sehari sebelumnya di angka 50 pasien.

Dengan penambahan 39 pasien di Sulsel, angka komulatif penambahan pasien terkonfirmasi tembus 110.347 orang.

Sementara untuk pasien sembuh naik 7 pasien. Angka tersebut turun dibandingkan sehari sebelumnya di angka 10 pasien.

Dengan penambahan 7 pasien sembuh di Sulsel membuat angka komulatif penambahan pasien sembuh tembus 107.876 pasien.

Untuk pasien positif yang meninggal tambah 0 pasien, di angka 2.245 pasien.

Artinya, pasien aktif Covid-19 di Sulsel di angka 226 pasien.

Angka itu didapatkan dari angka komulatif pasien terkonfirmasi dikurangi angka komulatif pasien sembuh, dikurangi lagi angka komulatif pasien positif meninggal.

Sebanyak 226 pasien aktif tersebar di rumah Orang Tanpa Gejala (OTG) atau kontak erat yang isolasi mandiri.

Lalu beberapa dirawat di rumah sakit rujukan dan non rujukan di Sulsel.

Sementara angka pasien terkonfirmasi selama Februari 2022 di angka 89 pasien.

Artinya rerata penambahan pasien Covid-19 di angka 44 pasien per hari.

Di mana penambahan pasien tertinggi terjadi pada (1/2/2022) dengan 50 pasien.

Sementara penambahan terendah terjadi pada (2/2/2022) dengan 39 pasien.

Angka Penambahan Pasien Terkonfirmasi per hari Selama Februari 2022:

01/02 + 50 pasien

02/02 + 39 pasien

Jumlah penambahan (1-2/2/2022): 89 pasien

Rata-rata: 44 orang per hari.(Tribun-Timur.com)

Sumber: Tribun Timur
Rekomendasi untuk Anda
Ikuti kami di
AA

Berita Terkini

Berita Populer

© 2025 TRIBUNnews.com Network,a subsidiary of KG Media.
All Right Reserved