Update Corona Sulbar
Wakil Ketua DPRD Sulbar Abdul Rahim Positif Corona
Kabar Wakil Ketua DPRD Sulbar terkonfirmasi positif Covid-19 disampaikan langsung anggota Gugus Tugas Covid-19, dr Muh Ihwan kepada wartawan.
Penulis: Nurhadi | Editor: Sudirman
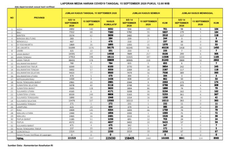
23. DI Yogyakarta
Kasus Baru: 26 orang
Sembuh: 1.370 orang
Meninggal Dunia: 53 orang
Terkonfirmasi: 1.895 orang
24. Kepulauan Riau
Kasus Baru: 8 orang
Sembuh: 862 orang
Meninggal Dunia: 50 orang
Terkonfirmasi: 1.438 orang
25. Papua Barat
Kasus Baru: 51 orang
Sembuh: 703 orang
Meninggal Dunia: 24 orang
Terkonfirmasi: 1.236 orang
26. Kalimantan Barat
Kasus Baru: 4 orang
Sembuh: 655 orang
Meninggal Dunia: 7 orang
Terkonfirmasi: 784 orang
27. Lampung
Kasus baru: 29 orang
Sembuh: 385 orang
Meninggal Dunia: 23 orang
Terkonfirmasi: 644 orang
28. Kalimantan Utara
Kasus baru: 5 orang
Sembuh: 394 orang
Meninggal Dunia: 3 orang
Terkonfirmasi: 479 orang
29. Bengkulu
Kasus Baru: 9 orang
Sembuh: 237 orang
Meninggal Dunia: 30 orang
Terkonfirmasi: 476 orang
30. Sulawesi Barat
Kasus Baru: 4 orang
Sembuh: 347 orang
Meninggal Dunia: 7 orang
Terkonfirmasi: 475 orang
31. Jambi
Kasus Baru: 10 orang
Sembuh: 233 orang
Meninggal Dunia: 7 orang
Terkonfirmasi: 331 orang
32. Kepulauan Bangka Belitung
Kasus Baru: 1 orang
Sembuh: 244 orang
Meninggal Dunia: 3 orang
Terkonfirmasi: 284 orang
33. Nusa Tenggara Timur
Kasus baru: 39 orang
Sembuh: 172 orang
Meninggal Dunia: 5 orang
Terkonfirmasi: 276 orang
34. Sulawesi Tengah
Kasus Baru: 1 orang
Sembuh: 232 orang
Meninggal Dunia: 11 orang
Terkonfirmasi: 272 orang
Kesimpulan data pasien virus corona (Covid-19) di Indonesia per Selasa (15/9/2020):
Jumlah Kasus:
Senin, 14 September 2020: 221.523 kasus
Selasa, 15 September 2020: 3.507 kasus
Total : 225.030 kasus
Jumlah Pasien Sembuh:
Senin, 14 September 2020: 158.405 kasus
Selasa, 15 September 2020: 2.660 kasus
Total : 161.065 kasus
Jumlah Pasien Meninggal Dunia:
Senin, 14 September 2020: 8.841 kasus
Selasa, 15 September 2020: 124 kasus
Total : 8.965 kasus
(tribun-timur.com).
:quality(30):format(webp):focal(0.5x0.5:0.5x0.5)/makassar/foto/bank/originals/wakil-ketua-dprd-sulbar-abdul-rahim-1592020.jpg)