Makassar Mulia
Kota Makassar Komitmen Dalam Kreatifitas

Update Corona Indonesia

Update Sebaran Covid-19 Hari Ini 1 September 2020: DKI Jakarta, Sulawesi Selatan hingga Papua

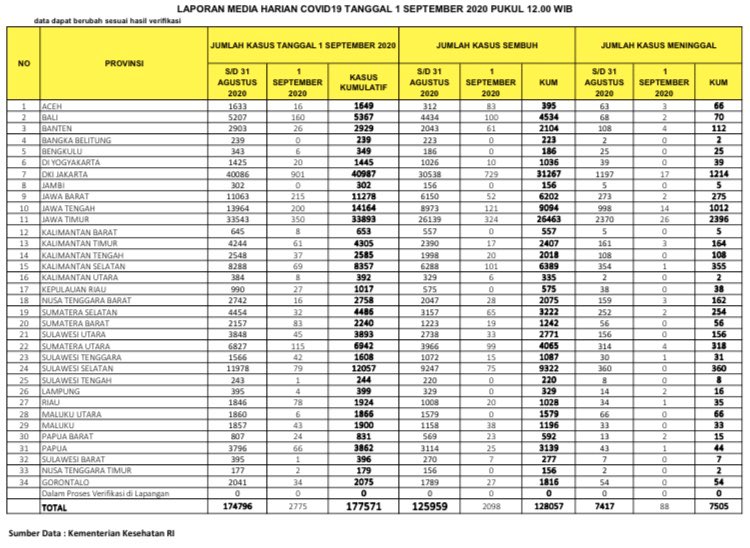
Berdasarkan laporan data pada akun Twitter @BNPB_Indonesia, Selasa (1/9/2020) sore, tercatat ada 2.775 kasus baru.

Editor: Hasrul
Tribun Pontianak
Update Sebaran Covid-19 Hari Ini 1 September 2020: DKI Jakarta, Sulawesi Selatan hingga Papua 

31. Jambi
Kasus Baru: - orang
Sembuh: 156 orang
Meninggal Dunia: 5 orang
Terkonfirmasi: 302 orang

32. Sulawesi Tengah
Kasus Baru: 1 orang
Sembuh: 220 orang
Meninggal Dunia: 8 orang
Terkonfirmasi: 244 orang

33. Kepulauan Bangka Belitung
Kasus Baru: - orang
Sembuh: 223 orang
Meninggal Dunia: 2 orang
Terkonfirmasi: 239 orang

34. Nusa Tenggara Timur
Kasus baru: 2 orang
Sembuh: 156 orang
Meninggal Dunia: 2 orang
Terkonfirmasi: 179 orang

tribunnews
Data kasus corona di Indonesia, Selasa (1/9/2020) (Twitter @BNPB_Indonesia)

Kesimpulan data pasien virus corona (Covid-19) di Indonesia per Selasa (1/9/2020):

Jumlah Kasus:
Senin, 31 Agustus 2020: 174.796 kasus
Selasa, 1 September 2020: 2.775 kasus
Total : 177.571 kasus

Jumlah Pasien Sembuh:
Senin, 31 Agustus 2020: 125.959 kasus
Selasa, 1 September 2020: 2.098 kasus
Total : 128.057 kasus

Jumlah Pasien Meninggal Dunia:
Senin, 31 Agustus 2020: 7.417 kasus
Selasa, 1 September 2020: 88 kasus
Total : 7.505 kasus

(TribunTernate.com)

Artikel ini telah tayang di Tribunternate.com dengan judul UPDATE Sebaran Virus Corona Indonesia Selasa (1/9/2020): DKI Catat 901 Kasus Baru dan 729 Sembuh, .

Halaman 4 dari 4
Rekomendasi untuk Anda
Ikuti kami di
AA

Berita Terkini

© 2025 TRIBUNnews.com Network,a subsidiary of KG Media.
All Right Reserved